血流感染(BSI)是危及人類生命健康的全身性感染疾病,可導致菌血癥、敗血癥和膿毒癥,嚴重者可引起休克、彌散性血管內凝血(DIC)、多臟器功能衰竭乃至死亡。以大腸埃希菌和肺炎克雷伯菌(KP)為代表的革蘭陰性菌是血流感染的主要病原體,在中國由大腸埃希菌和肺炎克雷伯菌引起的血流感染超過50%。
隨著抗菌藥物的廣泛應用,碳青霉烯耐藥腸桿菌科細菌(CRE)流行與耐藥形勢嚴峻。碳青霉烯類耐藥肺炎克雷伯菌(CRKP)是CRE血流感染的主要致病菌,長期處于高水平流行狀態,耐藥性日趨嚴重,并伴有較高的病死率。在中國CRKP在CRE分離株中的占比為60%~90%,由于多重耐藥菌株的快速傳播、高死亡率以及缺乏有效的抗菌藥物,CRKP所致BSI在臨床治療方面極具挑戰。
當前對CRKP的鑒定主要采用傳統的藥敏試驗,但非常耗時,需要數天甚至數周,容易延誤臨床治療的時機,因此,探索一種快速檢測CRKP的新方法具有重要的臨床意義。
研究成果
近日,南昌大學第二附屬醫院檢驗科胡龍華教授團隊基于氣相色譜-離子遷移譜聯用(GC-IMS)技術,通過測定CRKP和碳青霉烯類抗生素敏感的肺炎克雷伯菌(CSKP)在血培養過程中產生的代謝性揮發性有機化合物(VOCs)的特異性改變,實現了對CRKP的快速鑒定,其研究成果發表在應用微生物領域專業期刊AMB Express上(圖 1),為臨床微生物快速鑒定和藥敏試驗提供了一個新思路。
圖 1 論文《GC-IMS技術助力在模擬血培養中耐碳青霉烯類肺炎克雷伯菌的鑒定》
胡龍華教授團隊基于KP的4種標準菌株和69株臨床分離株展開研究,使用相同的血培養條件,所有菌株產生的VOCs分別在氣相色譜離子遷移譜聯用儀(FlavourSpec®)上檢測,為了觀察亞胺培南(IPM,一種碳青霉烯類抗生素,具有超廣譜、高效能的抗菌活性,對多種病原體所導致的中重度混合感染有明顯的抗菌作用)對CSKP和CRKP的作用,標準菌株在血培養3h后分別加入終濃度為0.25mg/mL的IPM,并設置4個連續的時間點分別對菌液進行VOCs的檢測。同時為了探索鑒定產碳青霉烯酶(CBPM)的KP,對CRKP各亞型加入CBPM抑制劑進行研究。相關的實驗流程圖詳見圖 2:
圖 2 實驗研究流程圖
經過細菌培養和檢測,總共檢測出54種VOCs(其中6種VOCs同時檢測到單體和二聚體),包括4種有機酸、3種醇、3種酯、4種酮、2種吡嗪、2種苯衍生物和30種未定性VOCs??啥ㄐ?/span>VOCs詳見表 1,同時發現KP在培養5h后達到指數生長期的終點,后續時間點其VOCs的變化不明顯,因此相應的研究實驗均在5h(T2)時間點開展。
表 1 KP血培養種檢測到的可定性VOCs
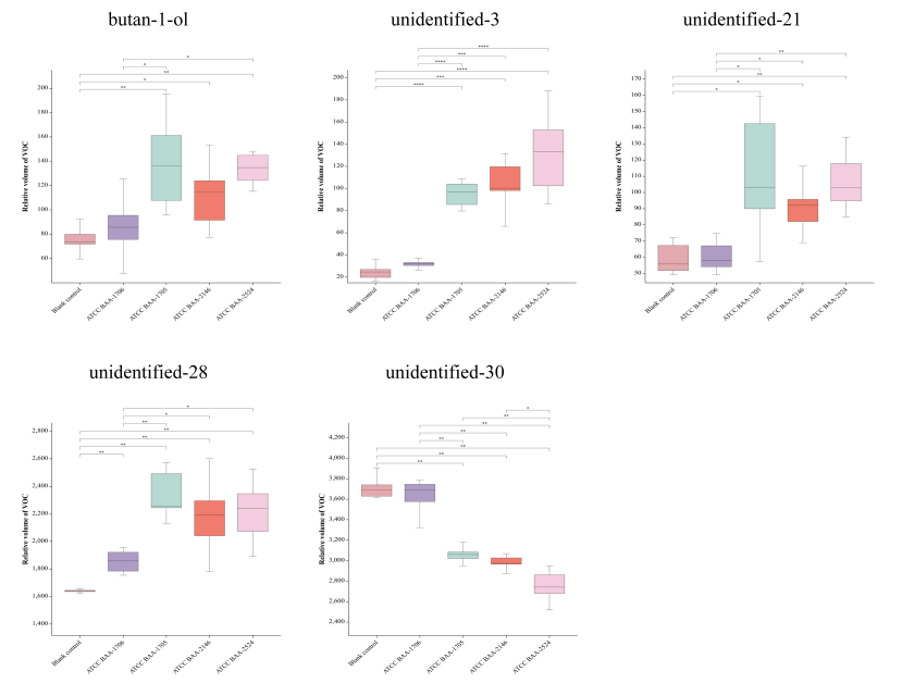
在CRKP和CSKP的鑒定中,在不添加IPM的條件下,通過檢測標準菌株的VOCs,發現5種VOCs在兩個組別種存在顯著性差異,相對于CSKP,CRKP的未定性物質3#、21#、28#和正丁醇含量增加,而未定性物質30#含量減少(圖 3)。之后主成分分析顯示上述5種VOCs可有效地區分CSKP和CRKP(圖 4),但這一差異會隨著時間推移而消失。
圖 3 檢測到的5種VOCs在CSKP和CRKP組間的含量差異
(ATCC BAA-1706為CSKP標準菌株,ATCC BAA-1705/2146/2524為CRKP標準菌株)
為了進一步探究IPM對KP的生長代謝以及釋放的VOCs的影響,在標準菌株培養3h(T0時間點)后,加入終濃度0.25mg/mL的IPM,并在后續時間點檢測對應的VOCs。結果發現CRKP組的VOCs和未加入IPM前保持了相同的變化趨勢,而CSKP組的VOCs變化較為明顯,相對于CSKP組,CRKP組的3-甲基丁酸(單體、二聚體)、2-甲基丙烯酸(單體、二聚體)、乙酸、丁二酮和3-羥基-2-丁酮的含量顯著升高,而苯甲醛二聚體和丁酮的含量顯著降低。同時在未定性的物質中,11種VOCs存在上升的趨勢,而2種VOCs存在下降的趨勢(圖 5)。
圖 4 CSKP和CRKP的PCA圖(未加入IPM) 圖 5 CRKP組VOCs相對于CSKP組的變化(加入IPM后)
在CRKP中,最為常見的是產CBPM的KP,為研究VOCs的檢測是否有助于鑒定產CBPM的CRKP,在標準菌株中加入IPM的同時,分別設置加入/不加入CBPM抑制劑進行對照研究,并在后續的時間點觀察VOCs的變化情況。以產A類碳青霉烯酶KP為例,結果表明,ATCC BAA-1705菌株在加入CBPM抑制劑后,和未加入CBPM抑制劑相比,出現了5種VOCs(苯甲醛二聚體、2,5-二甲基吡嗪二聚體、2-甲基吡嗪二聚體、丁酮和未定性VOCs15#)含量的上升以及13種VOCs(2-甲基丙烯酸單體和二聚體、丙酸單體和二聚體、乙酸、3-羥基-2-丁酮和7種未定性物質)含量的下降(圖 6)。通過PCA分析顯示CBPM抑制劑的加入可鑒定ATCC BAA-1705為A類產CBPM的CRKP(圖 7)。與之相似的是,加入CBMP抑制劑后,產B類碳青霉烯酶KP(ATCC BAA-2146)的VOCs發生了特異性改變。
圖 6 ATCC BAA-1705菌株加入CBPM抑制劑后的VOCs變化 圖 7 加入CBPM抑制劑后的標準菌株VOCs的PCA圖
針對臨床分離的菌株,也先后通過加入IPM進行了CRKP的研究,以及加入CBPM抑制劑進行對產CBPM的CRKP的鑒定探索。本次研究涉及69例臨床分離株,其中25例CSKP和44例CRKP,在44例CRKP中,包含20例KPC陽性株、15例NDM陽性株、4例IPM陽性株和5例CBPM陰性株。
加入IPM后,相對于CSKP,各亞型的CRKP均出現了部分VOCs的顯著性變化(表 2,圖 8)。結果表明IPM的加入可有效地鑒定產CBPM的CRKP,包括KPC陽性菌株、NDM陽性菌株和IPM陽性菌株。
表 2 CRKP臨床分離株加入IPM后相對于CSKP的VOCs變化
圖 8 加入IPM后各亞型CRKP產生的VOCs的變化(相對于CSKP)
針對臨床分離株,通過VOCs的檢測鑒定產CBPM的CRKP,同標準菌株同樣的實驗操作方法,以加入B類酶抑制劑(DPA)為例,在T2時間點對VOCs進行檢測,結果發現在加入DPA后,部分VOCs出現了顯著的變化,包括KPC陽性株出現了4種VOC的升高和8種VOCs的降低;NDM陽性株出現了8種VOCs的升高和11種VOCs的降低;相比于NDM陽性株,IPM陽性株出現了1,2-乙二醇的升高和3-羥基-2-丁酮以及4種未定性VOCs的降低(圖 9)。
圖 9 臨床分離株加入IPM和CBPM抑制劑后的VOCs的變化情況
綜上所述,本研究得到以下的結果:①通過血培養瓶中VOCs的相對組分檢測,可實現對KP的鑒定。②在加入IPM后,CSKP和CRKP釋放的VOCs的差異得到了進一步證實,從而發現了識別和鑒定CRKP的潛在VOCs指標。③CBPM抑制劑的加入使相應菌株中特異性VOCs的組成發生了明顯的變化,從而為CBPM表型的檢測提供了一種新的方法,為臨床引起BSI常見的KP的鑒定和耐藥性評估開辟一種快速的新方法。針對上述的研究結果,后續有待于進一步深化研究,開展更大規模的臨床多中心驗證以及前瞻性研究。
關于GC-IMS技術
氣相色譜-離子遷移譜聯用(GC-IMS)技術是將氣相色譜的高效分離與離子遷移譜的痕量快速分析優勢相結合,經過二次分離后得到保留時間、漂移時間和信號強度的三維譜圖,實現對各類樣品中VOCs的痕量檢測,目前廣泛應用于風味、泛環境和醫學檢測領域的研究。設備具有高靈敏度、適應性強、操作簡便、快速分析的特點,相關的檢測流程示意圖詳見圖 10,本研究對于KP產生的VOCs的檢測操作均在氣相色譜離子遷移譜聯用儀(FlavourSpec®)上完成。
圖 10 GC-IMS檢測原理流程示意圖















